AUC integration methods
Source:vignettes/v23-auc-integration-methods.Rmd
v23-auc-integration-methods.RmdIntegration methods for Area Under the Concentration-Time curve (AUC)
There are 3 methods for choosing how to integrate the AUC between two
concentration measurements in PKNCA. They are lin up/log
down, linear and lin-log. Additionally, there are 3 methods for
extrapolating after the last concentration above the limit of
quantification. They are AUCinf, AUClast and AUCall. Other methods of
calculating AUC (such as AUCtau and AUCint) are
made with variants of these.
Definitions and abbreviations
- AUC: Area under the concentration-time curve
- BLQ: Below the lower limit of quantification
- LLOQ: lower limit of quantification
- NCA: Noncompartmental analysis
- Profile: A set of concentration-time points for calculation
- Tlast: The last concentration above the limit of quantification within a profile
- Tmax: The time of the maximum concentration
Description of methods of integrating between two concentrations before Tlast
Note that other NCA tools may not describe interpolation as zero. The zero-interpolation rules are used by PKNCA to assist with other methods used across the suite of tools for interpolation and data cleaning within PKNCA. The zero-interpolation rules could be swapped for linear trapezoidal rules with the same effects here.
Linear up/logarithmic down ("lin up/log down")
interpolation
Linear up/logarithmic down interpolation is the most commonly used
method for PK, and it is the default for PKNCA.
Linear up/logarithmic down interpolation is often used when an exogenous substance is dosed and measured, and when the elimination likely occurs by first-order elimination from the body.
Linear up/logarithmic down interpolation uses the following rules in order for each pair of concentrations through Tlast:
- If concentrations are both zero, interpolate as zero;
- If concentrations are decreasing and the second concentration is not zero, use logarithmic interpolation; and
- If concentrations are decreasing before Tlast or increasing ever, use linear interpolation.
Linear trapezoidal ("linear") interpolation
Linear trapezoidal interpolation is often used when an endogenous substance is measured (and possibly dosed), and when the elimination may not occur by first-order elimination processes.
Linear trapezoidal interpolation uses the following rules in order for each pair of concentrations through Tlast:
- If concentrations are both zero, interpolate as zero; and
- Use linear interpolation for all other times (this could be the only rule).
Linear to Tmax/logarithmic after Tmax
("lin-log") interpolation
Linear to Tmax/logarithmic after Tmax interpolation is infrequently used. It uses the following rules in order for each pair of concentrations through Tlast:
- If concentrations are both zero, interpolate as zero;
- If concentrations are before Tmax, use linear interpolation;
- If concentrations are after Tmax (and before Tlast) and either concentration is zero, use linear interpolation; and
- If concentrations are after Tmax and neither is zero, use logarithmic interpolation.
Description of methods of integrating between two concentrations after Tlast
"AUClast" extrapolation
AUClast extrapolation after Tlast is the simplest. It is no extrapolation; the extrapolated AUC integral is zero.
"AUCall" extrapolation
AUCall extrapolation after Tlast has two rules:
- If the last concentration measured is above the limit of quantification (in other words, the last time is Tlast), then no extrapolation is done; otherwise
- Integrate linearly the triangle between Tlast and the time of zero concentration after Tlast.
Examples

Example PK where Clast is above the LLOQ; lin up/log down interpolation method; AUCinf extrapolation method (AUC type); and keeping all BLQ values (not default BLQ handling)

Example PK where Clast is above the LLOQ; lin up/log down interpolation method; AUClast extrapolation method (AUC type); and keeping all BLQ values (not default BLQ handling)

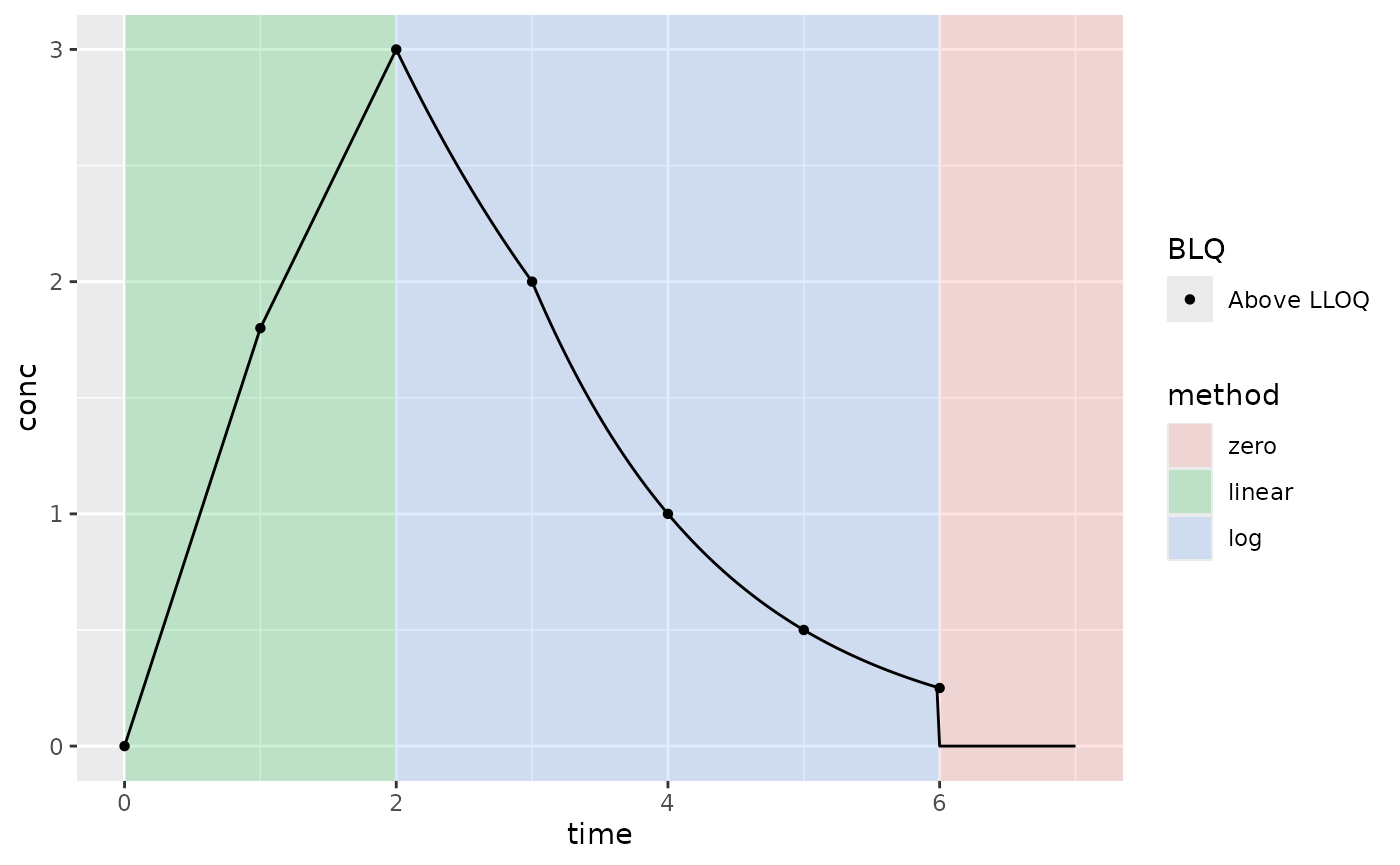
Example PK where Clast is above the LLOQ; lin up/log down interpolation method; AUCall extrapolation method (AUC type); and keeping all BLQ values (not default BLQ handling)

Example PK where Clast is above the LLOQ; linear interpolation method; AUCinf extrapolation method (AUC type); and keeping all BLQ values (not default BLQ handling)

Example PK where Clast is above the LLOQ; linear interpolation method; AUClast extrapolation method (AUC type); and keeping all BLQ values (not default BLQ handling)

Example PK where Clast is above the LLOQ; linear interpolation method; AUCall extrapolation method (AUC type); and keeping all BLQ values (not default BLQ handling)

Example PK where Clast is above the LLOQ; lin-log interpolation method; AUCinf extrapolation method (AUC type); and keeping all BLQ values (not default BLQ handling)

Example PK where Clast is above the LLOQ; lin-log interpolation method; AUClast extrapolation method (AUC type); and keeping all BLQ values (not default BLQ handling)

Example PK where Clast is above the LLOQ; lin-log interpolation method; AUCall extrapolation method (AUC type); and keeping all BLQ values (not default BLQ handling)

Example PK where Clast is below the LLOQ; lin up/log down interpolation method; AUCinf extrapolation method (AUC type); and keeping all BLQ values (not default BLQ handling)

Example PK where Clast is below the LLOQ; lin up/log down interpolation method; AUClast extrapolation method (AUC type); and keeping all BLQ values (not default BLQ handling)

Example PK where Clast is below the LLOQ; lin up/log down interpolation method; AUCall extrapolation method (AUC type); and keeping all BLQ values (not default BLQ handling)

Example PK where Clast is below the LLOQ; linear interpolation method; AUCinf extrapolation method (AUC type); and keeping all BLQ values (not default BLQ handling)

Example PK where Clast is below the LLOQ; linear interpolation method; AUClast extrapolation method (AUC type); and keeping all BLQ values (not default BLQ handling)

Example PK where Clast is below the LLOQ; linear interpolation method; AUCall extrapolation method (AUC type); and keeping all BLQ values (not default BLQ handling)

Example PK where Clast is below the LLOQ; lin-log interpolation method; AUCinf extrapolation method (AUC type); and keeping all BLQ values (not default BLQ handling)

Example PK where Clast is below the LLOQ; lin-log interpolation method; AUClast extrapolation method (AUC type); and keeping all BLQ values (not default BLQ handling)

Example PK where Clast is below the LLOQ; lin-log interpolation method; AUCall extrapolation method (AUC type); and keeping all BLQ values (not default BLQ handling)

Example PK where Concentrations increase and decrease after Tmax with zeros in the middle; lin up/log down interpolation method; AUCinf extrapolation method (AUC type); and keeping all BLQ values (not default BLQ handling)

Example PK where Concentrations increase and decrease after Tmax with zeros in the middle; lin up/log down interpolation method; AUClast extrapolation method (AUC type); and keeping all BLQ values (not default BLQ handling)

Example PK where Concentrations increase and decrease after Tmax with zeros in the middle; lin up/log down interpolation method; AUCall extrapolation method (AUC type); and keeping all BLQ values (not default BLQ handling)

Example PK where Concentrations increase and decrease after Tmax with zeros in the middle; linear interpolation method; AUCinf extrapolation method (AUC type); and keeping all BLQ values (not default BLQ handling)

Example PK where Concentrations increase and decrease after Tmax with zeros in the middle; linear interpolation method; AUClast extrapolation method (AUC type); and keeping all BLQ values (not default BLQ handling)

Example PK where Concentrations increase and decrease after Tmax with zeros in the middle; linear interpolation method; AUCall extrapolation method (AUC type); and keeping all BLQ values (not default BLQ handling)

Example PK where Concentrations increase and decrease after Tmax with zeros in the middle; lin-log interpolation method; AUCinf extrapolation method (AUC type); and keeping all BLQ values (not default BLQ handling)

Example PK where Concentrations increase and decrease after Tmax with zeros in the middle; lin-log interpolation method; AUClast extrapolation method (AUC type); and keeping all BLQ values (not default BLQ handling)

Example PK where Concentrations increase and decrease after Tmax with zeros in the middle; lin-log interpolation method; AUCall extrapolation method (AUC type); and keeping all BLQ values (not default BLQ handling)